学校卫生与食品安全
文献速递:低碳水减肥有讲究!JAMA子刊:哈佛大学研究发现这种低碳水化合物饮食未必能减肥,甚至可能让你胖得更快
随着生活节奏的加快和饮食习惯的变迁,越来越多的人开始关注体重管理和健康饮食,其中低碳水化合物饮食(LCDs)引起了广泛关注,成为一种备受推崇的减重方式。LCDs以减少碳水化合物的摄入为主要特征,吸引了众多追求健康的人们。然而,对于LCDs的效果和可持续性,长期以来存在着争议。传统观点认为减少碳水化合物的摄入有助于减重,但是一直以来,关于何种类型的LCDs更为有效,以及饮食质量在其中的作用,科学界一直在探讨之中。

图片来源:doi:10.1001/jamanetworkopen.2023.49552
在一项新的研究中,来自哈佛大学医学院的研究人员揭示了低碳水化合物饮食(LCD)中植物性食物的质量与体重管理之间密切的关联。该研究提供了新的视角,指导人们更科学、更健康地进行饮食选择,远离盲目追求低碳水化合物摄入的误区。相关研究结果于2023年12月27日发表在《JAMA Network Open》期刊上,论文标题为“Low-Carbohydrate Diet Macronutrient Quality and Weight Change”。
这项研究采用了观察性的研究设计,旨在探讨低碳水化合物饮食(LCDs)与体重变化之间的关系。研究对象主要是白种健康人士,通过对这一人群的大规模样本进行长期跟踪来获取数据,饮食和体重方面的数据是通过研究对象的自我报告获得的。研究为了更全面地研究LCDs与体重变化的关系,创建了五个不同版本的LCDs,基于宏量营养素(动物脂肪、植物脂肪、健康碳水化合物和不健康碳水化合物)的质量和数量进行评分。最后,通过对收集到的大量数据进行统计分析,研究评估了LCDs与体重变化之间的关联,强调了饮食质量对于体重管理的重要性。
体重管理的新方向:植物性低碳水化合物饮食
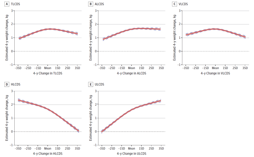
传统观念中,人们普遍关注饮食中碳水化合物的数量,但这项研究强调了食物质量的重要性。通过对不同质量和数量的低碳水化合物饮食(LCDs)与体重变化之间关系的多方面分析,研究发现高质量的LCDs,富含植物蛋白和健康脂肪,与体重增长的减缓相关,而低质量的LCDs则显示相反的趋势。具体而言,动物脂肪和不健康碳水化合物的摄入与体重增加相关,而植物脂肪和健康碳水化合物的摄入则与减缓体重增长相关。这些结论表明,在低碳水化合物饮食中,宏量营养素的质量可能比数量更为重要,强调了饮食质量在维持健康体重方面的关键作用。

图1. 五种低碳水化合物饮食与体重变化之间的非线性剂量-响应关系。
图片来源:doi:10.1001/jamanetworkopen.2023.49552
塑身之道:基于体重状况选择植物性低碳水化合物饮食
此外,植物性低碳水化合物饮食在体重管理中的优势不仅体现在其成分上,更表现在对身体代谢的积极影响。在不同基线体质指数(BMI)下的研究中,发现低碳水化合物饮食的效果因基线BMI的不同而有所差异。具体而言,BMI在25到30之间的人群(即超重范围)中,采用高质量低碳水化合物饮食,即富含植物蛋白质和健康脂肪,与较慢的体重增长相关。相反,在BMI超过30的人群(即肥胖范围),低碳水化合物饮食的质量与体重变化之间的关联不显著。而在BMI低于25的人群(即正常体重范围),低碳水化合物饮食的质量与体重变化之间也没有显著关联。这一研究结果暗示,低碳水化合物饮食的效果可能会受到初始体重状况的影响,尤其是对于超重人群而言,选择高质量的低碳水化合物饮食可能更有助于体重管理。
图2. 在不同基线体质指数(BMI)下,低碳水化合物饮食与体重变化的关联。
图片来源:doi:10.1001/jamanetworkopen.2023.49552
虽然这项研究具有显著的实用价值,但也存在一些局限性。由于数据主要来自自我报告,测量误差不可避免,可能导致饮食和体重变化的分类错误。同时,由于研究对象主要为白人健康专业人士,其普遍适用性可能存在一定限制。未来的研究应该在更多种群中验证这些发现,并深入探讨植物性低碳水化合物饮食对身体组成的影响,例如腹部脂肪和肌肉质量。
科学指导下的健康饮食
这项研究深入探讨了低碳水化合物饮食的复杂性,强调了在体重管理中不仅仅要关注饮食的总碳水化合物量,更需关注其质量。发现在超重范围内,采用植物性低碳水化合物饮食,尤其是富含植物蛋白质和健康脂肪的高质量低碳水化合物饮食,与较慢的体重增长相关,为体重管理提供了实质性的指导。这提示人们在选择饮食方式时,应当考虑到初始体重状态,特别是对于超重人群而言,选择高质量的植物性低碳水化合物饮食可能更有助于实现健康的体重管理,为个体制定更为个性化和有效的营养方案提供了新的思路。这一研究为塑造更科学合理的饮食观念和实践提供了有益的启示,有望在全球范围内对公众健康和饮食习惯的指导产生积极影响。
参考资料:
Liu B, Hu Y, Rai SK, Wang M, Hu FB, Sun Q. Low-Carbohydrate Diet Macronutrient Quality and Weight Change. JAMA Netw Open. 2023 Dec 1;6(12):e2349552. doi: 10.1001/jamanetworkopen.2023.49552
陕公网安备61080002000215号